atelier de septembre

Atelier pour fabriquer son miroir et son télescope
Avatar de l’utilisateur
MichelL
Messages : 216
Inscription : 28 oct. 2020, 22:01

atelier de septembre

Message par MichelL »

La reprise de la taille de miroir s'est faite calmement ... ou presque.
A l'arrivée, "notre" salle était occupée par la petite enfance pour la journée portes ouvertes des trois sites de Beauregard, la Maison du Parc, le Cadran et la Ferme de la Harpe. Mais je n'en savais rien. Discussion, explications puis libération des lieux.
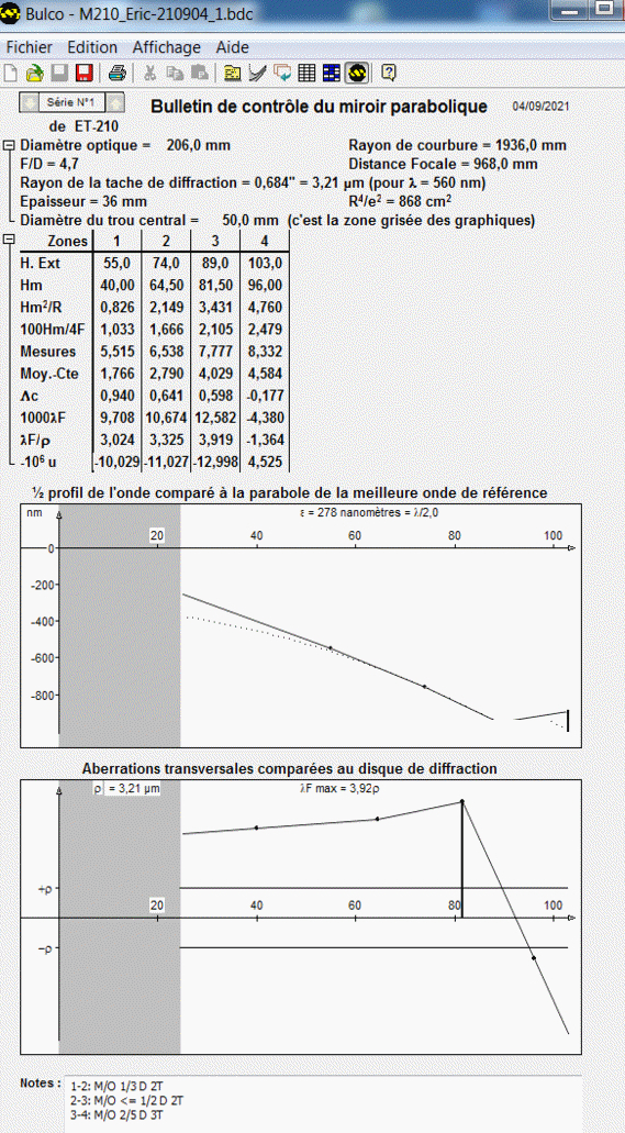
Etaient présents Bruno et les deux Michel's. Michel M a pris en charge l'inventaire et le nettoyage des abrasifs, travail fort utile en ce début de session. Bruno a poursuivi le polissage de son miroir de 210 et Michel L la parabolisation du 210 don d'Eric T rebaptisé ET-210 pour l'occasion.
Les travaux se poursuivent et de nouveaux projets seront discutés lors du prochain atelier le 2 octobre.
A ce propos, n'oublions pas la Fête de la Science du 1er au 11 octobre 2021.
Bulco_210904-mesure 6.jpg
Répondre